| Crystal Lattice Structures: | Creation Date: 26 Sep 1997 |
| Last Modified: 10 Jun 2005 |
You can now
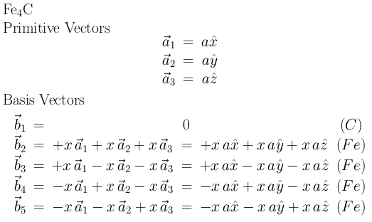
| A1 | = | a X |
| A2 | = | a Y |
| A3 | = | a Z |
| B1 | = | 0 | (1a) | (C) | ||
| B2 | = | + x A1 + x A2 + x A3 | = | + x a X + x a Y + x a Z | (4e) | (Fe) |
| B3 | = | + x A1 - x A2 - x A3 | = | + x a X - x a Y - x a Z | (4e) | (Fe) |
| B4 | = | - x A1 + x A2 - x A3 | = | - x a X + x a Y - x a Z | (4e) | (Fe) |
| B5 | = | - x A1 - x A2 + x A3 | = | - x a X - x a Y + x a Z | (4e) | (Fe) |
Go back to the cubic close-packed structures page.
Go back to Crystal Lattice Structure page.
| Structures indexed by: | This is a mirror of an old page created at the Naval Research Laboratory Center for Computational Materials Science The maintained successor is hosted at http://www.aflowlib.org/CrystalDatabase/ and published as M. Mehl et al., Comput. Mater. Sci. 136 (Supp.), S1-S828 (2017). |